Page 291 - Profil Kesehatan Jateng 2021
P. 291
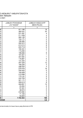
TABEL 61
JUMLAH KASUS AFP (NON POLIO) MENURUT KABUPATEN/KOTA
PROVINSI JAWA TENGAH
TAHUN 2021
JUMLAH PENDUDUK JUMLAH KASUS AFP
NO KABUPATEN/KOTA JUMLAH PUSKESMAS
<15 TAHUN* (NON POLIO)
1 2 3 4 5
1 Kab.Cilacap 38 411.186 18
2 Kab.Banyumas 40 380.031 20
3 Kab.Purbalingga 22 221.297 4
4 Kab.Banjarnegara 35 211.028 4
5 Kab.Kebumen 35 280.125 5
6 Kab.Purworejo 27 150.171 2
7 Kab.Wonosobo 24 186.585 5
8 Kab.Magelang 29 282.972 6
9 Kab.Boyolali 25 210.015 8
10 Kab.Klaten 34 230.719 6
11 Kab.Sukoharjo 12 182.451 4
12 Kab.Wonogiri 34 173.290 1
13 Kab.Karanganyar 21 188.292 8
14 Kab.Sragen 25 181.841 1
15 Kab.Grobogan 30 307.081 1
16 Kab.Blora 26 176.887 5
17 Kab.Rembang 17 131.334 4
18 Kab.Pati 29 257.325 13
19 Kab.Kudus 19 189.326 2
20 Kab.Jepara 22 298.200 4
21 Kab.Demak 27 279.476 19
22 Kab.Semarang 26 224.453 5
23 Kab.Temanggung 26 165.559 3
24 Kab.Kendal 30 215.068 0
25 Kab.Batang 21 173.121 5
26 Kab.Pekalongan 27 222.725 5
27 Kab.Pemalang 25 321.171 3
28 Kab.Tegal 29 356.619 8
29 Kab.Brebes 38 434.857 12
30 Kota Magelang 5 23.364 2
31 Kota Surakarta 17 97.451 3
32 Kota Salatiga 6 38.915 5
33 Kota Semarang 37 372.594 3
34 Kota Pekalongan 14 71.105 2
35 Kota Tegal 8 55.820 2
JUMLAH (KAB/KOTA) 880 7.702.454 198
AFP RATE (NON POLIO) PER 100.000 PENDUDUK USIA < 15 TAHUN 2,6
Sumber: Program Surveilens
Keterangan: Jumlah kasus adalah seluruh kasus yang ada di wilayah kerja puskesmas tersebut termasuk kasus yang ditemukan di RS
* Data BPS

