Page 302 - 1Profil Kesehatan Jawa Tengah 2023
P. 302
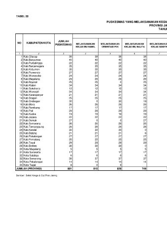
TABEL 55
PUSKESMAS YANG MELAKSANAKAN KEGIATAN PELAYANAN KESEHATAN KELUARGA
PROVINSI JAWA TENGAH
TAHUN 2023
JUMLAH PUSKESMAS
JUMLAH MELAKSANAKAN MELAKSANAKAN MELAKSANAKAN MELAKSANAKAN
NO KABUPATEN/KOTA MELAKSANAKAN MELAKSANAKAN MELAKSANAKAN MELAKSANAKAN MELAKSANAKAN MELAKSANAKAN PENJARINGAN PENJARINGAN PENJARINGAN PENJARINGAN
PUSKESMAS KEGIATAN
KELAS IBU HAMIL ORIENTASI P4K KELAS IBU BALITA KELAS SDIDTK MTBS KESEHATAN KELAS KESEHATAN KELAS KESEHATAN KELAS KESEHATAN KELAS
KESEHATAN REMAJA
1 7 10 1, 7, 10
1 2 3 4 5 6 7 8 9 10 11 12 13
1 Kab.Cilacap 38 38 38 38 38 38 38 38 38 38 38
2 Kab.Banyumas 40 40 40 40 40 40 40 40 40 40 40
3 Kab.Purbalingga 22 22 22 22 22 22 22 22 22 18 17
4 Kab.Banjarnegara 35 35 35 35 35 35 35 35 35 35 35
5 Kab.Kebumen 35 35 35 35 35 35 35 35 35 35 35
6 Kab.Purworejo 27 27 27 27 27 27 27 27 23 24 23
7 Kab.Wonosobo 24 24 24 24 24 24 24 24 24 24 24
8 Kab.Magelang 29 29 29 29 29 29 29 29 29 29 25
9 Kab.Boyolali 25 25 0 25 25 25 25 25 25 23 23
10 Kab.Klaten 34 34 34 34 34 34 34 34 34 26 34
11 Kab.Sukoharjo 12 12 12 12 12 12 12 12 12 12 12
12 Kab.Wonogiri 34 34 34 34 34 34 34 34 34 34 34
13 Kab.Karanganyar 21 21 21 21 21 21 21 21 21 21 21
14 Kab.Sragen 25 25 25 25 25 25 25 25 25 25 25
15 Kab.Grobogan 30 0 30 19 30 30 30 30 30 30 30
16 Kab.Blora 26 26 26 26 26 26 26 26 26 26 26
17 Kab.Rembang 17 17 17 17 17 17 17 17 17 17 17
18 Kab.Pati 29 29 29 29 29 29 29 29 29 29 29
19 Kab.Kudus 19 19 19 19 19 19 19 19 19 19 19
20 Kab.Jepara 22 22 22 22 22 22 22 22 22 22 22
21 Kab.Demak 27 0 0 27 27 27 27 27 27 27 27
22 Kab.Semarang 26 26 26 26 26 26 26 26 26 26 26
23 Kab.Temanggung 26 26 26 26 26 26 26 26 26 20 20
24 Kab.Kendal 30 30 30 0 0 0 30 30 30 30 30
25 Kab.Batang 21 21 21 6 11 21 21 21 21 18 18
26 Kab.Pekalongan 27 27 27 27 27 27 27 27 27 27 27
27 Kab.Pemalang 25 25 25 25 25 25 25 25 25 25 25
28 Kab.Tegal 29 29 29 29 29 29 29 29 29 29 29
29 Kab.Brebes 38 38 38 0 0 0 38 38 38 38 38
30 Kota Magelang 5 5 5 5 5 5 5 5 5 5 5
31 Kota Surakarta 17 17 17 17 17 17 17 17 17 17 17
32 Kota Salatiga 6 6 6 6 6 6 6 6 6 6 6
33 Kota Semarang 38 37 37 37 37 37 37 37 37 37 37
34 Kota Pekalongan 14 14 14 14 14 14 14 14 14 14 14
35 Kota Tegal 8 0 8 8 8 8 8 8 8 8
JUMLAH (PROVINSI) 881 815 828 749 773 783 880 880 876 854 856
Sumber : Seksi Kesga & Gizi Prov Jateng

