Page 281 - 1Profil Kesehatan Jawa Tengah 2023
P. 281
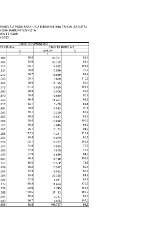
TABEL 44
CAKUPAN IMUNISASI LANJUTAN DPT-HB-Hib 4 DAN CAMPAK RUBELA 2 PADA ANAK USIA DIBAWAH DUA TAHUN (BADUTA)
MENURUT JENIS KELAMIN DAN KABUPATEN/KOTA
PROVINSI JAWA TENGAH
TAHUN 2023
BADUTA DIIMUNISASI
NO KABUPATEN/KOTA JUMLAH BADUTA DPT-HB-Hib4 CAMPAK RUBELA 2
JUMLAH % JUMLAH %
1 2 3 4 5 6 7
1 Kab.Cilacap 24.709 21.989 89,0 20.701 83,8
2 Kab.Banyumas 24.821 20.502 82,6 20.702 83,4
3 Kab.Purbalingga 14.067 14.510 103,1 14.922 106,1
4 Kab.Banjarnegara 13.211 11.334 85,8 10.529 79,7
5 Kab.Kebumen 16.273 16.219 99,7 15.849 97,4
6 Kab.Purworejo 8.728 8.739 100,1 9.630 110,3
7 Kab.Wonosobo 11.172 10.954 98,0 11.125 99,6
8 Kab.Magelang 17.759 18.012 101,4 18.025 101,5
9 Kab.Boyolali 13.442 13.293 98,9 13.006 96,8
10 Kab.Klaten 15.364 13.870 90,3 13.840 90,1
11 Kab.Sukoharjo 11.756 11.340 96,5 11.307 96,2
12 Kab.Wonogiri 9.859 8.218 83,4 8.460 85,8
13 Kab.Karanganyar 12.048 10.881 90,3 11.093 92,1
14 Kab.Sragen 11.423 8.003 70,1 10.329 90,4
15 Kab.Grobogan 18.573 16.565 89,2 16.517 88,9
16 Kab.Blora 10.281 9.765 95,0 10.922 106,2
17 Kab.Rembang 8.112 7.723 95,2 7.645 94,2
18 Kab.Pati 15.986 15.207 95,1 15.173 94,9
19 Kab.Kudus 12.129 14.256 117,5 14.241 117,4
20 Kab.Jepara 20.152 18.236 90,5 18.270 90,7
21 Kab.Demak 17.537 18.079 103,1 18.727 106,8
22 Kab.Semarang 15.019 11.243 74,9 10.883 72,5
23 Kab.Temanggung 10.744 8.268 77,0 7.809 72,7
24 Kab.Kendal 13.815 12.150 87,9 11.699 84,7
25 Kab.Batang 11.016 10.607 96,3 11.448 103,9
26 Kab.Pekalongan 13.717 12.077 88,0 10.552 76,9
27 Kab.Pemalang 18.832 16.239 86,2 15.522 82,4
28 Kab.Tegal 22.007 19.204 87,3 18.093 82,2
29 Kab.Brebes 26.438 22.024 83,3 22.395 84,7
30 Kota Magelang 1.537 1.034 67,3 1.031 67,1
31 Kota Surakarta 6.619 11.173 168,8 11.603 175,3
32 Kota Salatiga 2.715 2.739 100,9 2.745 101,1
33 Kota Semarang 26.921 27.055 100,5 27.122 100,7
34 Kota Pekalongan 4.618 3.787 82,0 3.787 82,0
35 Kota Tegal 3.763 3.640 96,7 4.025 107,0
PROVINSI JAWA TENGAH 485.163 448.935 92,5 449.727 92,7
Sumber: Program Imunisasi
Keterangan :

