Page 251 - 1Profil Kesehatan Jawa Tengah 2023
P. 251
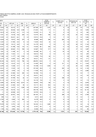
TABEL 29
PESERTA KB AKTIF METODE MODERN MENURUT JENIS KONTRASEPSI, PESERTA KB AKTIF MENGALAMI EFEK SAMPING, KOMPLIKASI KEGAGALAN DAN DROP OUT DAN KABUPATEN/KOTA
PROVINSI JAWA TENGAH
TAHUN 2023
JUMLAH JUMLAH PESERTA KB AKTIF METODE MODERN EFEK KOMPLIKASI KEGAGALAN DROP
NO KABUPATEN/KOTA SAMPING % % % OUT BER- %
PUSKESMAS PUS BER-KB BER-KB
KONDOM % SUNTIK % PIL % AKDR % MOP % MOW % IMPLAN % MAL % JUMLAH % BER-KB KB
1 2 3 4 5 6 7 8 9 10 11 12 13 14 15 16 17 18 19 20 21 22 23 24 25 26 27 28 29 30
1 Kab.Cilacap 38 295.556 7.333 3,0 119.494 48,3 42.978 17,4 29.072 11,8 361 0,1 5.819 2,4 42.312 17,1 0 0,0 247.369 83,7 1.307 0,5 8 0,0 20 0,0 718 0,3
2 Kab.Banyumas 40 294.230 8.147 3,8 88.278 41,2 20.814 9,7 44.290 20,7 1.101 0,5 10.951 5,1 38.555 18,0 2.268 1,1 214.404 72,9 111 0,1 8 0,0 33 0,0 1.605 0,7
3 Kab.Purbalingga 22 162.988 4.517 3,0 76.319 51,2 16.740 11,2 17.993 12,1 1.288 0,9 9.674 6,5 21.954 14,7 515 0,3 149.000 91,4 76 0,1 6 0,0 3 0,0 425 0,3
4 Kab.Banjarnegara 35 158.674 4.588 3,3 74.764 53,3 13.439 9,6 19.354 13,8 1.317 0,9 7.261 5,2 19.049 13,6 500 0,4 140.272 88,4 750 0,5 47 0,0 50 0,0 1.233 0,9
5 Kab.Kebumen 35 203.325 9.571 7,3 62.243 47,7 12.022 9,2 13.185 10,1 60 0,0 4.300 3,3 29.231 22,4 0 0,0 130.612 64,2 0 0,0 0 0,0 0 0,0 1.292 1,0
6 Kab.Purworejo 27 121.940 4.504 5,4 37.821 45,3 8.088 9,7 10.520 12,6 1.049 1,3 5.204 6,2 15.412 18,5 870 1,0 83.468 68,5 368 0,4 250 0,3 17 0,0 1.038 1,2
7 Kab.Wonosobo 24 135.016 3.068 2,7 57.816 50,4 6.932 6,0 12.850 11,2 709 0,6 5.344 4,7 27.895 24,3 16 0,0 114.630 84,9 53 0,0 6 0,0 32 0,0 53 0,0
8 Kab.Magelang 29 224.589 9.940 7,0 64.807 45,9 13.410 9,5 26.386 18,7 285 0,2 8.338 5,9 18.013 12,8 0 0,0 141.179 62,9 0 0,0 9 0,0 26 0,0 1.122 0,8
9 Kab.Boyolali 25 168.989 3.827 2,6 88.785 61,0 7.051 4,8 17.681 12,1 494 0,3 6.301 4,3 21.299 14,6 145 0,1 145.583 86,1 300 0,2 13 0,0 34 0,0 1.979 1,4
10 Kab.Klaten 34 200.059 6.857 4,6 83.674 56,2 10.559 7,1 14.660 9,8 212 0,1 6.596 4,4 25.820 17,3 589 0,4 148.967 74,5 517 0,3 39 0,0 37 0,0 1.467 1,0
11 Kab.Sukoharjo 12 154.508 7.763 7,5 49.437 48,0 12.019 11,7 14.886 14,4 288 0,3 7.647 7,4 11.058 10,7 0 0,0 103.098 66,7 0 0,0 25 0,0 5 0,0 58 0,1
12 Kab.Wonogiri 34 162.840 10.671 8,2 65.329 50,4 21.426 16,5 13.843 10,7 235 0,2 6.274 4,8 11.834 9,1 0 0,0 129.612 79,6 3 0,0 0 0,0 1 0,0 287 0,2
13 Kab.Karanganyar 21 154.164 8.230 7,2 57.885 50,5 9.057 7,9 19.076 16,7 590 0,5 7.289 6,4 11.177 9,8 1.226 1,1 114.530 74,3 64 0,1 1 0,0 3 0,0 206 0,2
14 Kab.Sragen 25 151.475 3.116 2,6 70.704 58,8 10.344 8,6 14.676 12,2 380 0,3 5.570 4,6 14.993 12,5 494 0,4 120.277 79,4 137 0,1 4 0,0 16 0,0 817 0,7
15 Kab.Grobogan 30 235.939 5.855 2,1 185.324 65,1 28.766 10,1 14.297 5,0 387 0,1 15.339 5,4 33.819 11,9 794 0,3 284.581 120,6 0 0,0 0 0,0 0 0,0 15.847 5,6
16 Kab.Blora 26 147.479 4.410 3,4 90.931 69,1 16.937 12,9 0 0,0 324 0,2 2.758 2,1 16.242 12,3 0 0,0 131.602 89,2 0 0,0 181 0,1 89 0,1 1.034 0,8
17 Kab.Rembang 17 110.493 1.142 1,1 70.007 69,2 12.327 12,2 3.354 3,3 144 0,1 2.276 2,3 11.848 11,7 0 0,0 101.098 91,5 1.893 1,9 17 0,0 29 0,0 1.585 1,6
18 Kab.Pati 29 216.028 4.722 2,3 148.378 71,6 25.628 12,4 9.201 4,4 322 0,2 6.514 3,1 12.520 6,0 0 0,0 207.285 96,0 0 0,0 450 0,2 14 0,0 2.169 1,0
19 Kab.Kudus 19 153.322 3.932 3,4 71.618 61,2 21.327 18,2 5.947 5,1 451 0,4 4.057 3,5 9.720 8,3 0 0,0 117.052 76,3 0 0,0 8 0,0 4 0,0 2.965 2,5
20 Kab.Jepara 22 223.603 3.172 2,0 106.323 65,6 15.135 9,3 8.830 5,4 457 0,3 4.501 2,8 22.985 14,2 682 0,4 162.085 72,5 0 0,0 11 0,0 2 0,0 17 0,0
21 Kab.Demak 27 203.115 3.910 2,1 137.116 72,2 13.023 6,9 7.419 3,9 360 0,2 7.358 3,9 20.785 10,9 0 0,0 189.971 93,5 0 0,0 5 0,0 7 0,0 180 0,1
22 Kab.Semarang 26 186.323 3.910 3,4 66.757 58,3 7.857 6,9 8.832 7,7 206 0,2 4.580 4,0 22.209 19,4 64 0,1 114.415 61,4 0 0,0 258 0,2 2 0,0 0 0,0
23 Kab.Temanggung 26 134.198 6.730 6,6 41.731 40,6 5.937 5,8 14.200 13,8 207 0,2 6.174 6,0 27.751 27,0 0 0,0 102.730 76,6 0 0,0 0 0,0 4 0,0 174 0,2
24 Kab.Kendal 30 167.997 624 0,5 60.003 44,8 41.150 30,7 1.073 0,8 620 0,5 2.965 2,2 24.754 18,5 2.818 2,1 134.007 79,8 124 0,1 5 0,0 6 0,0 2.605 1,9
25 Kab.Batang 21 133.483 4.319 3,6 58.803 48,7 20.910 17,3 9.055 7,5 1.010 0,8 4.564 3,8 21.956 18,2 96 0,1 120.713 90,4 652 0,5 79 0,1 17 0,0 11.069 9,2
26 Kab.Pekalongan 27 154.786 3.535 2,6 91.939 67,9 12.991 9,6 6.747 5,0 263 0,2 6.442 4,8 12.273 9,1 1.228 0,9 135.418 87,5 733 0,5 72 0,1 30 0,0 6.056 4,5
27 Kab.Pemalang 25 221.182 4.095 2,0 126.374 61,7 28.821 14,1 10.045 4,9 2.027 1,0 7.791 3,8 25.576 12,5 0 0,0 204.729 92,6 0 0,0 166 0,1 12 0,0 16.134 7,9
28 Kab.Tegal 29 244.514 2.147 1,1 124.288 62,8 13.003 6,6 11.083 5,6 10.751 5,4 11 0,0 36.596 18,5 0 0,0 197.879 80,9 0 0,0 41 0,0 10 0,0 24 0,0
29 Kab.Brebes 38 308.435 3.409 1,4 158.074 63,2 23.376 9,3 16.639 6,7 1.270 0,5 8.362 3,3 39.051 15,6 0 0,0 250.181 81,1 0 0,0 488 0,2 37 0,0 3.788 1,5
30 Kota Magelang 5 20.738 1.793 20,2 2.835 32,0 653 7,4 1.744 19,7 18 0,2 999 11,3 831 9,4 0 0,0 8.873 42,8 0 0,0 0 0,0 0 0,0 0 0,0
31 Kota Surakarta 17 88.487 10.088 25,0 13.929 34,5 3.096 7,7 7.038 17,4 140 0,3 2.780 6,9 2.844 7,0 463 1,1 40.378 45,6 15 0,0 18 0,0 5 0,0 5 0,0
32 Kota Salatiga 6 34.420 763 3,9 15.670 79,5 696 3,5 1.238 6,3 35 0,2 186 0,9 1.124 5,7 0 0,0 19.712 57,3 0 0,0 0 0,0 0 0,0 0 0,0
33 Kota Semarang 38 325.021 25.954 13,0 95.537 48,0 19.357 9,7 26.206 13,2 708 0,4 17.678 8,9 13.751 6,9 0 0,0 199.191 61,3 1.488 0,7 0 0,0 1 0,0 14 0,0
34 Kota Pekalongan 14 53.378 2.850 9,0 15.558 49,3 4.139 13,1 3.939 12,5 124 0,4 1.507 4,8 3.425 10,9 15 0,0 31.557 59,1 8 0,0 6 0,0 0 0,0 3.526 11,2
35 Kota Tegal 8 42.592 1.425 4,2 19.117 56,8 2.864 8,5 3.595 10,7 58 0,2 1.739 5,2 4.864 14,4 0 0,0 33.662 79,0 0 0,0 0 0,0 1 0,0 60 0,2
PROVINSI JAWA TENGAH 881 5.993.886 190.917 4,0 2.697.668 56,6 522.872 11,0 438.954 9,2 28.251 0,6 205.149 4,3 673.526 14,1 12.783 0,3 4.770.120 79,6 8.599 0,2 2.221 0,0 547 0,0 79.552 1,7
Sumber : Seksi Kesga & Gizi Prov Jateng
Keterangan:
MAL : Metode Amenore Laktasi 68,6

