Page 244 - 1Profil Kesehatan Jawa Tengah 2023
P. 244
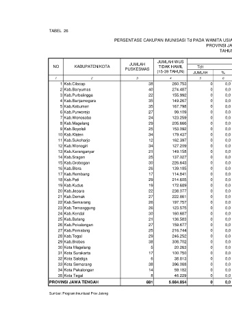
TABEL 26
PERSENTASE CAKUPAN IMUNISASI Td PADA WANITA USIA SUBUR YANG TIDAK HAMIL MENURUT KABUPATEN/KOTA
PROVINSI JAWA TENGAH
TAHUN 2023
JUMLAH WUS IMUNISASI Td PADA WUS TIDAK HAMIL
JUMLAH
NO KABUPATEN/KOTA TIDAK HAMIL Td1 Td2 Td3 Td4 Td5
PUSKESMAS
(15-39 TAHUN) JUMLAH % JUMLAH % JUMLAH % JUMLAH % JUMLAH %
1 2 3 4 5 6 7 8 9 10 11 12 13 14
1 Kab.Cilacap 38 260.753 0 0,0 567 0,2 673 0,3 827 0,3 1.043 0,4
2 Kab.Banyumas 40 274.487 0 0,0 184 0,1 312 0,1 1.017 0,4 7.292 2,7
3 Kab.Purbalingga 22 155.992 0 0,0 598 0,4 514 0,3 316 0,2 169 0,1
4 Kab.Banjarnegara 35 149.267 0 0,0 27 0,0 921 0,6 2.619 1,8 1.964 1,3
5 Kab.Kebumen 35 167.798 0 0,0 262 0,2 16.670 9,9 27.202 16,2 50.790 30,3
6 Kab.Purworejo 27 99.109 0 0,0 28.344 28,6 1.285 1,3 335 0,3 417 0,4
7 Kab.Wonosobo 24 123.259 0 0,0 271 0,2 2.887 2,3 5.333 4,3 58.478 47,4
8 Kab.Magelang 29 205.666 0 0,0 1.854 0,9 2.853 1,4 3.399 1,7 7.875 3,8
9 Kab.Boyolali 25 153.092 0 0,0 351 0,2 1.011 0,7 482 0,3 2.775 1,8
10 Kab.Klaten 34 179.437 0 0,0 1.316 0,7 15.158 8,4 8.263 4,6 8.508 4,7
11 Kab.Sukoharjo 12 162.397 0 0,0 68 0,0 727 0,4 2.752 1,7 5.106 3,1
12 Kab.Wonogiri 34 127.209 0 0,0 15 0,0 171 0,1 1.846 1,5 2.482 2,0
13 Kab.Karanganyar 21 149.158 0 0,0 243 0,2 2.377 1,6 2.910 2,0 2.035 1,4
14 Kab.Sragen 25 137.027 0 0,0 234 0,2 309 0,2 1.327 1,0 4.051 3,0
15 Kab.Grobogan 30 226.643 0 0,0 442 0,2 32.798 14,5 43.856 19,4 47.280 20,9
16 Kab.Blora 26 139.185 0 0,0 103 0,1 1.515 1,1 678 0,5 804 0,6
17 Kab.Rembang 17 114.841 0 0,0 132 0,1 2.427 2,1 10.242 8,9 32.425 28,2
18 Kab.Pati 29 214.605 0 0,0 421 0,2 8.840 4,1 6.237 2,9 31.679 14,8
19 Kab.Kudus 19 172.689 0 0,0 27 0,0 133 0,1 958 0,6 3.361 1,9
20 Kab.Jepara 22 238.077 0 0,0 46 0,0 131 0,1 2.139 0,9 1.741 0,7
21 Kab.Demak 27 222.861 0 0,0 390 0,2 1.452 0,7 1.711 0,8 6.506 2,9
22 Kab.Semarang 26 197.757 0 0,0 14 0,0 114 0,1 315 0,2 822 0,4
23 Kab.Temanggung 26 123.575 0 0,0 85 0,1 442 0,4 2.794 2,3 55.687 45,1
24 Kab.Kendal 30 160.687 0 0,0 202 0,1 149 0,1 871 0,5 4.517 2,8
25 Kab.Batang 21 136.583 0 0,0 46 0,0 859 0,6 380 0,3 1.505 1,1
26 Kab.Pekalongan 27 159.677 0 0,0 145 0,1 250 0,2 742 0,5 1.774 1,1
27 Kab.Pemalang 25 216.744 0 0,0 328 0,2 1.474 0,7 655 0,3 4.588 2,1
28 Kab.Tegal 29 246.252 0 0,0 532 0,2 774 0,3 414 0,2 212 0,1
29 Kab.Brebes 38 308.702 0 0,0 2.220 0,7 9.963 3,2 10.251 3,3 18.213 5,9
30 Kota Magelang 5 20.263 0 0,0 78 0,4 38 0,2 56 0,3 60 0,3
31 Kota Surakarta 17 100.750 0 0,0 9 0,0 76 0,1 575 0,6 10.691 10,6
32 Kota Salatiga 6 38.813 0 0,0 15 0,0 403 1,0 2.678 6,9 4.296 11,1
33 Kota Semarang 38 396.088 0 0,0 14.662 3,7 28.609 7,2 20.101 5,1 91.991 23,2
34 Kota Pekalongan 14 59.182 0 0,0 20 0,0 172 0,3 84 0,1 1.032 1,7
35 Kota Tegal 8 46.229 0 0,0 151 0,3 612 1,3 292 0,6 431 0,9
PROVINSI JAWA TENGAH 881 5.884.854 0 0,0 54.402 0,9 137.099 2,3 164.657 2,8 472.600 8,0
Sumber: Program Imunisasi Prov Jateng

