Page 225 - Profil Kesehatan Jateng 2021
P. 225
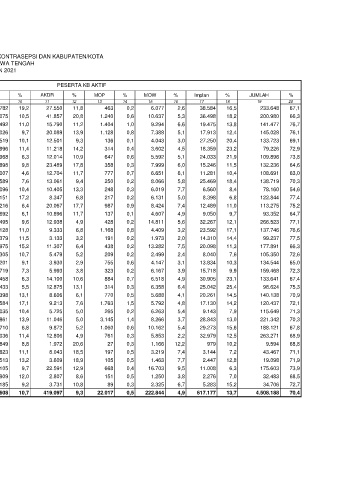
TABEL 28
PESERTA KB AKTIF MENURUT JENIS KONTRASEPSI DAN KABUPATEN/KOTA
PROVINSI JAWA TENGAH
TAHUN 2021
JUMLAH PESERTA KB AKTIF
NO KABUPATEN/KOTA JUMLAH PUS
PUSKESMAS
Kondom % Suntik % Pil % AKDR % MOP % MOW % Implan % JUMLAH %
1 2 3 4 5 6 7 8 9 10 11 12 13 14 15 16 17 18 19 20
1 Kab.Cilacap 38 348.057 7.109 3,0 109.083 46,7 44.782 19,2 27.550 11,8 463 0,2 6.077 2,6 38.584 16,5 233.648 67,1
2 Kab.Banyumas 40 303.267 6.230 3,1 83.443 41,5 21.075 10,5 41.857 20,8 1.240 0,6 10.637 5,3 36.498 18,2 200.980 66,3
3 Kab.Purbalingga 22 184.376 3.772 2,7 76.250 53,9 15.492 11,0 15.790 11,2 1.404 1,0 9.294 6,6 19.475 13,8 141.477 76,7
4 Kab.Banjarnegara 35 190.610 3.750 2,6 80.734 55,7 14.026 9,7 20.089 13,9 1.128 0,8 7.388 5,1 17.913 12,4 145.028 76,1
5 Kab.Kebumen 35 193.660 6.567 4,9 69.707 52,1 13.519 10,1 12.501 9,3 136 0,1 4.043 3,0 27.250 20,4 133.723 69,1
6 Kab.Purworejo 27 108.734 3.747 4,7 32.990 41,6 8.996 11,4 11.218 14,2 314 0,4 3.602 4,5 18.359 23,2 79.226 72,9
7 Kab.Wonosobo 24 148.878 2.365 2,2 58.277 53,0 6.968 6,3 12.014 10,9 647 0,6 5.592 5,1 24.033 21,9 109.896 73,8
8 Kab.Magelang 29 204.578 7.231 5,5 65.015 49,2 12.898 9,8 23.489 17,8 358 0,3 7.999 6,0 15.246 11,5 132.236 64,6
9 Kab.Boyolali 25 172.389 1.908 1,8 70.363 64,7 5.007 4,6 12.704 11,7 777 0,7 6.651 6,1 11.281 10,4 108.691 63,0
10 Kab.Klaten 34 197.321 5.443 3,9 75.841 54,7 10.589 7,6 13.061 9,4 250 0,2 8.066 5,8 25.469 18,4 138.719 70,3
11 Kab.Sukoharjo 12 143.093 5.016 6,4 41.816 53,5 8.096 10,4 10.405 13,3 248 0,3 6.019 7,7 6.560 8,4 78.160 54,6
12 Kab.Wonogiri 34 158.702 8.812 7,2 69.788 56,8 21.151 17,2 8.347 6,8 217 0,2 6.131 5,0 8.398 6,8 122.844 77,4
13 Kab.Karanganyar 21 150.731 5.066 4,5 59.026 52,1 7.216 6,4 20.067 17,7 987 0,9 8.424 7,4 12.489 11,0 113.275 75,2
14 Kab.Sragen 25 144.352 1.370 1,5 61.600 66,0 5.692 6,1 10.896 11,7 137 0,1 4.607 4,9 9.050 9,7 93.352 64,7
15 Kab.Grobogan 30 345.665 3.743 1,4 176.841 66,4 25.495 9,6 12.938 4,9 428 0,2 14.811 5,6 32.267 12,1 266.523 77,1
16 Kab.Blora 26 179.799 2.182 1,6 81.934 59,5 15.128 11,0 9.333 6,8 1.168 0,8 4.409 3,2 23.592 17,1 137.746 76,6
17 Kab.Rembang 17 128.034 1.059 1,1 67.192 67,7 11.379 11,5 3.133 3,2 191 0,2 1.973 2,0 14.310 14,4 99.237 77,5
18 Kab.Pati 29 268.411 2.884 1,6 102.907 57,8 26.975 15,2 11.307 6,4 438 0,2 13.282 7,5 20.098 11,3 177.891 66,3
19 Kab.Kudus 19 145.064 1.365 1,3 76.453 72,6 11.305 10,7 5.479 5,2 209 0,2 2.499 2,4 8.040 7,6 105.350 72,6
20 Kab.Jepara 22 207.041 1.133 0,8 98.544 73,2 12.201 9,1 3.930 2,9 755 0,6 4.147 3,1 13.834 10,3 134.544 65,0
21 Kab.Demak 27 220.528 1.662 1,0 117.886 73,9 11.719 7,3 5.993 3,8 323 0,2 6.167 3,9 15.718 9,9 159.468 72,3
22 Kab.Semarang 26 198.154 2.307 1,7 70.469 52,7 8.458 6,3 14.100 10,6 884 0,7 6.518 4,9 30.905 23,1 133.641 67,4
23 Kab.Temanggung 26 130.996 5.664 5,7 42.938 43,5 5.433 5,5 12.875 13,1 314 0,3 6.358 6,4 25.042 25,4 98.624 75,3
24 Kab.Kendal 30 197.540 1.196 0,9 85.219 60,8 18.398 13,1 8.606 6,1 770 0,5 5.688 4,1 20.261 14,5 140.138 70,9
25 Kab.Batang 21 166.959 4.636 3,8 61.319 50,9 20.584 17,1 9.213 7,6 1.763 1,5 5.792 4,8 17.130 14,2 120.437 72,1
26 Kab.Pekalongan 27 162.173 3.215 2,8 79.003 68,3 12.035 10,4 5.725 5,0 265 0,2 6.263 5,4 9.143 7,9 115.649 71,3
27 Kab.Pemalang 25 314.814 6.525 2,9 132.656 59,9 30.861 13,9 11.046 5,0 3.145 1,4 8.266 3,7 28.843 13,0 221.342 70,3
28 Kab.Tegal 29 277.573 1.898 1,0 123.146 65,5 12.710 6,8 9.872 5,2 1.060 0,6 10.162 5,4 29.273 15,6 188.121 67,8
29 Kab.Brebes 38 382.016 1.744 0,7 179.092 68,0 30.036 11,4 12.806 4,9 761 0,3 5.853 2,2 32.979 12,5 263.271 68,9
30 Kota Magelang 5 13.937 1.493 15,6 3.108 32,4 849 8,8 1.972 20,6 27 0,3 1.166 12,2 979 10,2 9.594 68,8
31 Kota Surakarta 17 61.163 6.615 15,2 17.426 40,1 4.823 11,1 8.043 18,5 197 0,5 3.219 7,4 3.144 7,2 43.467 71,1
32 Kota Salatiga 6 26.563 2.711 14,2 6.250 32,7 2.513 13,2 3.609 18,9 105 0,5 1.463 7,7 2.447 12,8 19.098 71,9
33 Kota Semarang 37 237.690 22.729 12,9 84.799 48,3 17.105 9,7 22.591 12,9 668 0,4 16.703 9,5 11.008 6,3 175.603 73,9
34 Kota Pekalongan 14 47.444 1.777 5,5 20.313 62,5 3.909 12,0 2.807 8,6 151 0,5 1.250 3,8 2.276 7,0 32.483 68,5
35 Kota Tegal 8 47.712 1.094 3,2 18.999 54,7 3.185 9,2 3.731 10,8 89 0,3 2.325 6,7 5.283 15,2 34.706 72,7
PROVINSI JAWA TENGAH 880 6.408.024 146.018 3,2 2.600.427 57,7 480.608 10,7 419.097 9,3 22.017 0,5 222.844 4,9 617.177 13,7 4.508.188 70,4
Sumber : BKKBN Provinsi Jawa Tengah
Keterangan:
AKDR: Alat Kontrasepsi Dalam Rahim
MOP : Metode Operasi Pria
MOW : Metode Operasi Wanita

