Page 236 - 1Profil Kesehatan Jawa Tengah 2023
P. 236
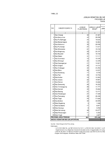
TABEL 22
JUMLAH KEMATIAN IBU MENURUT KABUPATEN/KOTA
PROVINSI JAWA TENGAH
TAHUN 2023
KEMATIAN IBU
JUMLAH JUMLAH LAHIR
NO KABUPATEN/KOTA JUMLAH KEMATIAN JUMLAH KEMATIAN JUMLAH KEMATIAN JUMLAH
PUSKESMAS HIDUP*
IBU HAMIL IBU BERSALIN IBU NIFAS KEMATIAN IBU
1 2 3 4 5 6 7 8
1 Kab.Cilacap 38 31.927 2 0 9 11
2 Kab.Banyumas 40 28.099 4 2 13 19
3 Kab.Purbalingga 22 16.630 2 4 5 11
4 Kab.Banjarnegara 35 16.984 5 4 6 15
5 Kab.Kebumen 35 22.838 5 2 8 15
6 Kab.Purworejo 27 11.617 2 0 3 5
7 Kab.Wonosobo 24 15.153 2 0 2 4
8 Kab.Magelang 29 20.157 1 1 11 13
9 Kab.Boyolali 25 16.734 0 0 8 8
10 Kab.Klaten 34 17.177 2 1 8 11
11 Kab.Sukoharjo 12 13.180 1 0 6 7
12 Kab.Wonogiri 34 13.425 2 0 9 11
13 Kab.Karanganyar 21 12.927 1 0 3 4
14 Kab.Sragen 25 14.131 4 2 9 15
15 Kab.Grobogan 30 24.263 8 3 11 22
16 Kab.Blora 26 13.037 3 0 10 13
17 Kab.Rembang 17 9.733 2 0 9 11
18 Kab.Pati 29 18.703 3 4 11 18
19 Kab.Kudus 19 13.363 3 3 5 11
20 Kab.Jepara 22 18.991 3 7 4 14
21 Kab.Demak 27 19.884 2 3 7 12
22 Kab.Semarang 26 16.353 1 3 3 7
23 Kab.Temanggung 26 11.777 1 1 2 4
24 Kab.Kendal 30 15.893 7 3 8 18
25 Kab.Batang 21 13.471 5 1 7 13
26 Kab.Pekalongan 27 17.489 6 4 24 34
27 Kab.Pemalang 25 26.496 1 3 6 10
28 Kab.Tegal 29 27.656 0 5 13 18
29 Kab.Brebes 38 33.595 13 6 35 54
30 Kota Magelang 5 1.596 0 0 0 0
31 Kota Surakarta 17 6.947 0 0 3 3
32 Kota Salatiga 6 3.052 1 0 1 2
33 Kota Semarang 38 22.677 5 0 11 16
34 Kota Pekalongan 14 5.353 2 1 3 6
35 Kota Tegal 8 4.627 0 1 2 3
PROVINSI JAWA TENGAH 881 575.169 99 64 275 438
ANGKA KEMATIAN IBU (DILAPORKAN) 76,15
Sumber : Seksi Kesga & Gizi Prov Jateng
Keterangan:
- Jumlah kematian ibu = jumlah kematian ibu hamil + jumlah kematian ibu bersalin + jumlah kematian ibu nifas
- Angka Kematian Ibu (dilaporkan) tersebut di atas belum bisa menggambarkan AKI yang sebenarnya di populasi
*) KMK RI No.HK.01.07/Menkes/140/2024 tentang Perubahan atas KMK No.HK.01,07/Menkes/5675/2021 ttg Data Penduduk Sasaran
Program Pembangunan Kesehatan Tahun 2021-2025

