Page 201 - 1Profil Kesehatan Jawa Tengah 2023
P. 201
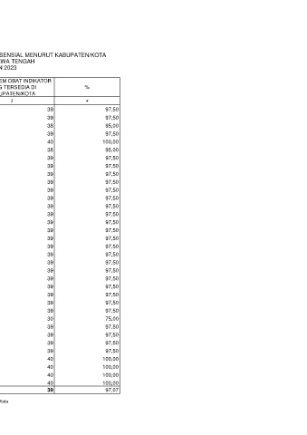
TABEL 10
PERSENTASE KETERSEDIAAN OBAT ESENSIAL MENURUT KABUPATEN/KOTA
PROVINSI JAWA TENGAH
TAHUN 2023
JUMLAH ITEM OBAT INDIKATOR
NO KABUPATEN/KOTA YANG TERSEDIA DI %
KABUPATEN/KOTA
1 2 3 4
1 Kab.Cilacap 39 97,50
2 Kab.Banyumas 39 97,50
3 Kab.Purbalingga 38 95,00
4 Kab.Banjarnegara 39 97,50
5 Kab.Kebumen 40 100,00
6 Kab.Purworejo 38 95,00
7 Kab.Wonosobo 39 97,50
8 Kab.Magelang 39 97,50
9 Kab.Boyolali 39 97,50
10 Kab.Klaten 39 97,50
11 Kab.Sukoharjo 39 97,50
12 Kab.Wonogiri 39 97,50
13 Kab.Karanganyar 39 97,50
14 Kab.Sragen 39 97,50
15 Kab.Grobogan 39 97,50
16 Kab.Blora 39 97,50
17 Kab.Rembang 39 97,50
18 Kab.Pati 39 97,50
19 Kab.Kudus 39 97,50
20 Kab.Jepara 39 97,50
21 Kab.Demak 39 97,50
22 Kab.Semarang 39 97,50
23 Kab.Temanggung 39 97,50
24 Kab.Kendal 39 97,50
25 Kab.Batang 39 97,50
26 Kab.Pekalongan 39 97,50
27 Kab.Pemalang 30 75,00
28 Kab.Tegal 39 97,50
29 Kab.Brebes 39 97,50
30 Kota Magelang 39 97,50
31 Kota Surakarta 39 97,50
32 Kota Salatiga 40 100,00
33 Kota Semarang 40 100,00
34 Kota Pekalongan 40 100,00
35 Kota Tegal 40 100,00
PROVINSI JAWA TENGAH 39 97,07
Sumber: Seksi Farmamin_Perbekkes & Profil Kesehatan Kab/Kota
Keterangan : Jumlah item obat esensial 40 item

