Page 210 - Profil Kesehatan 2015
P. 210
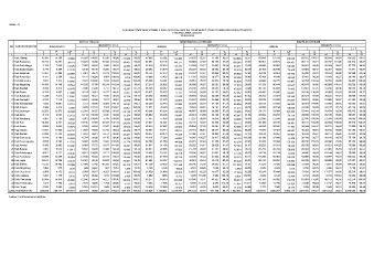
TABEL 44
CAKUPAN PEMBERIAN VITAMIN A PADA BAYI DAN ANAK BALITA MENURUT JENIS KELAMIN DAN KABUPATEN/KOTA
PROVINSI JAWA TENGAH
TAHUN 2015
BAYI 6-11 BULAN ANAK BALITA (12-59 BULAN) BALITA (6-59 BULAN)
NO KABUPATEN/KOTA JUMLAH BAYI MENDAPAT VIT A JUMLAH MENDAPAT VIT A JUMLAH MENDAPAT VIT A
L P L + P L P L + P L P L + P
L P L+P SƷ % S % S % L P L+P S % S % S % L P L+P S % S % S %
1 2 3 4 5 6 7 8 9 10 11 12 13 14 15 16 17 18 19 20 21 22 23 24 25 26 27 28 29
1 Kab.Cilacap 15.394 15.700 31.094 15.520 100,82 15.536 98,96 31.056 99,88 57.692 55.592 113.284 53.403 92,57 51.463 92,57 104.866 92,57 68.856 67.183 136.039 69.072 100,31 66.850 99,50 135.922 99,91
2 Kab.Banyumas 15.224 14.891 30.115 15.023 98,68 15.044 101,03 30.067 99,84 54.051 54.126 108.177 50.088 92,67 50.158 92,67 100.246 92,67 65.961 64.520 130.481 65.111 98,71 65.202 101,06 130.313 99,87
3 Kab.Purbalingga 7.138 7.438 14.576 7.097 99,43 7.402 99,52 14.499 99,47 27.919 27.412 55.331 21.824 78,17 21.447 78,24 43.271 78,20 29.092 28.953 58.045 28.941 99,48 28.829 99,57 57.770 99,53
4 Kab.Banjarnegara 8.779 8.399 17.178 8.646 98,49 8.296 98,77 16.942 98,63 35.503 34.070 69.573 29.237 82,35 28.092 82,45 57.329 82,40 38.468 36.900 75.368 37.880 98,47 36.391 98,62 74.271 98,54
5 Kab.Kebumen 11.091 11.008 22.099 11.061 99,73 11.013 100,05 22.074 99,89 38.754 37.412 76.166 34.053 87,87 32.939 88,04 66.992 87,96 45.249 43.853 89.102 45.222 99,94 43.844 99,98 89.066 99,96
6 Kab.Purworejo 4.121 3.854 7.975 4.121 100,00 3.854 100,00 7.975 100,00 19.986 19.432 39.418 11.292 56,50 10.977 56,49 22.269 56,49 15.404 14.848 30.252 15.401 99,98 14.843 99,97 30.244 99,97
7 Kab.Wonosobo 7.631 7.212 14.843 7.631 100,00 7.212 100,00 14.843 100,00 35.395 33.301 68.696 25.051 70,78 23.573 70,79 48.624 70,78 32.692 30.775 63.467 32.704 100,04 30.763 99,96 63.467 100,00
8 Kab.Magelang 10.455 10.108 20.563 10.235 97,90 10.314 102,04 20.549 99,93 37.219 36.823 74.042 36.688 98,57 36.291 98,56 72.979 98,56 47.128 46.414 93.542 46.970 99,66 46.558 100,31 93.528 99,99
9 Kab.Boyolali 8.303 8.373 16.676 7.580 91,29 7.717 92,17 15.297 91,73 30.495 29.597 60.092 24.043 78,84 23.595 79,72 47.638 79,28 36.112 35.323 71.435 31.687 87,75 31.248 88,46 62.935 88,10
10 Kab.Klaten 9.269 8.667 17.936 9.224 99,51 8.617 99,42 17.841 99,47 36.071 35.076 71.147 34.105 94,55 33.152 94,51 67.257 94,53 43.441 41.896 85.337 50.198 115,55 34.900 83,30 85.098 99,72
11 Kab.Sukoharjo 6.349 7.213 13.562 6.242 98,31 7.072 98,05 13.314 98,17 25.382 26.594 51.976 20.900 82,34 24.646 92,68 45.546 87,63 29.313 31.027 60.340 28.637 97,69 30.223 97,41 58.860 97,55
12 Kab.Wonogiri 6.734 7.119 13.853 6.637 98,56 7.017 98,57 13.654 98,56 25.793 27.270 53.063 23.237 90,09 24.568 90,09 47.805 90,09 29.975 31.692 61.667 29.874 99,66 31.586 99,67 61.460 99,66
13 Kab.Karanganyar 7.203 6.907 14.110 7.121 98,86 6.920 100,19 14.041 99,51 26.536 25.448 51.984 25.220 95,04 24.734 97,19 49.954 96,09 32.973 31.620 64.593 32.993 100,06 31.002 98,05 63.995 99,07
14 Kab.Sragen 4.046 4.314 8.360 7.978 197,18 7.973 184,82 15.951 190,80 27.871 29.934 57.805 25.033 89,82 26.242 87,67 51.275 88,70 33.055 35.154 68.209 33.039 99,95 34.187 97,25 67.226 98,56
15 Kab.Grobogan 13.585 12.975 26.560 13.391 98,57 12.839 98,95 26.230 98,76 45.204 45.330 90.534 40.087 88,68 39.598 87,35 79.685 88,02 54.171 53.809 107.980 55.441 102,34 50.474 93,80 105.915 98,09
16 Kab.Blora 6.119 6.034 12.153 6.119 100,00 6.031 99,95 12.150 99,98 25.052 25.395 50.447 22.818 91,08 23.129 91,08 45.947 91,08 28.903 29.207 58.110 28.902 100,00 29.195 99,96 58.097 99,98
17 Kab.Rembang 4.861 4.739 9.600 4.861 100,00 4.739 100,00 9.600 100,00 17.447 17.053 34.500 17.237 98,80 16.848 98,80 34.085 98,80 22.095 21.590 43.685 22.095 100,00 21.590 100,00 43.685 100,00
18 Kab.Pati 10.396 9.832 20.228 10.156 97,69 10.047 102,19 20.203 99,88 37.092 36.301 73.393 35.228 94,97 34.484 94,99 69.712 94,98 45.386 44.105 89.491 45.411 100,06 44.504 100,90 89.915 100,47
19 Kab.Kudus 8.086 8.593 16.679 8.033 99,34 8.547 99,46 16.580 99,41 30.613 32.467 63.080 26.694 87,20 28.291 87,14 54.985 87,17 34.820 36.945 71.765 34.844 100,07 36.721 99,39 71.565 99,72
20 Kab.Jepara 11.801 11.936 23.737 11.667 98,86 11.772 98,63 23.439 98,74 40.067 40.444 80.511 34.715 86,64 35.044 86,65 69.759 86,65 47.020 47.487 94.507 46.382 98,64 46.816 98,59 93.198 98,61
21 Kab.Demak 11.268 11.194 22.462 11.247 99,81 11.174 99,82 22.421 99,82 38.357 39.072 77.429 37.362 97,41 38.080 97,46 75.442 97,43 48.610 49.357 97.967 48.546 99,87 49.317 99,92 97.863 99,89
22 Kab.Semarang 8.410 8.199 16.609 8.324 98,98 8.115 98,98 16.439 98,98 28.324 27.300 55.624 29.902 105,57 28.817 105,56 58.719 105,56 38.336 37.000 75.336 38.248 99,77 36.910 99,76 75.158 99,76
23 Kab.Temanggung 6.056 5.722 11.778 5.847 96,55 5.931 103,65 11.778 100,00 22.799 21.709 44.508 22.215 97,44 21.159 97,47 43.374 97,45 18.074 37.084 55.158 28.156 155,78 26.996 72,80 55.152 99,99
24 Kab.Kendal 9.306 8.982 18.288 9.094 97,72 9.157 101,95 18.251 99,80 31.947 31.185 63.132 29.222 91,47 28.526 91,47 57.748 91,47 38.522 37.514 76.036 38.378 99,63 37.621 100,29 75.999 99,95
25 Kab.Batang 7.061 6.550 13.611 6.637 94,00 6.448 98,44 13.085 96,14 24.037 23.486 47.523 21.703 90,29 21.131 89,97 42.834 90,13 29.759 28.750 58.509 28.453 95,61 27.465 95,53 55.918 95,57
26 Kab.Pekalongan 9.521 9.121 18.642 9.521 100,00 9.121 100,00 18.642 100,00 26.458 33.292 59.750 25.536 96,52 31.662 95,10 57.198 95,73 34.719 41.214 75.933 34.696 99,93 41.144 99,83 75.840 99,88
27 Kab.Pemalang 13.696 13.258 26.954 12.932 94,42 12.517 94,41 25.449 94,42 48.014 47.700 95.714 41.930 87,33 41.443 86,88 83.373 87,11 57.395 56.683 114.078 54.865 95,59 53.957 95,19 108.822 95,39
28 Kab.Tegal 15.641 15.795 31.436 15.391 98,40 15.570 98,58 30.961 98,49 51.684 52.287 103.971 42.918 83,04 43.418 83,04 86.336 83,04 59.410 59.994 119.404 58.309 98,15 58.988 98,32 117.297 98,24
29 Kab.Brebes 17.533 16.462 33.995 17.080 97,42 16.339 99,25 33.419 98,31 61.528 59.638 121.166 56.545 91,90 54.695 91,71 111.240 91,81 75.878 73.420 149.298 73.586 96,98 71.073 96,80 144.659 96,89
30 Kota Magelang 1.004 875 1.879 699 69,62 687 78,51 1.386 73,76 3.298 3.330 6.628 3.001 90,99 2.868 86,13 5.869 88,55 3.976 3.943 7.919 3.769 94,79 3.486 88,41 7.255 91,62
31 Kota Surakarta 3.988 4.173 8.161 3.954 99,15 4.207 100,81 8.161 100,00 21.958 21.966 43.924 13.672 62,26 13.677 62,26 27.349 62,26 18.234 18.446 36.680 17.633 96,70 17.877 96,92 35.510 96,81
32 Kota Salatiga 1.254 1.179 2.433 1.215 96,89 1.213 102,88 2.428 99,79 4.882 4.850 9.732 4.979 101,99 4.952 102,10 9.931 102,04 6.238 6.126 12.364 6.194 99,29 6.165 100,64 12.359 99,96
33 Kota Semarang 12.904 14.058 26.962 12.845 99,54 14.121 100,45 26.966 100,01 53.217 54.019 107.236 41.886 78,71 43.427 80,39 85.313 79,56 56.193 56.082 112.275 63.868 113,66 48.411 86,32 112.279 100,00
34 Kota Pekalongan 2.624 2.794 5.418 2.620 99,85 2.793 99,96 5.413 99,91 7.856 7.865 15.721 8.978 114,28 8.979 114,16 17.957 114,22 11.658 11.765 23.423 11.638 99,83 11.732 99,72 23.370 99,77
35 Kota Tegal 2.047 2.043 4.090 2.091 102,15 1.969 96,38 4.060 99,27 12.435 12.085 24.520 5.391 43,35 5.633 46,61 11.024 44,96 7.727 7.588 15.315 7.639 98,86 7.445 98,12 15.084 98,49
JUMLAH (KAB/KOTA) 298.898 295.717 594.615 297.840 99,65 297.324 100,54 595.164 100,09 1.110.936 1.108.861 2.219.797 976.193 87,87 977.738 88,17 1.953.931 88,02 1.284.843 1.298.267 2.583.110 1.294.782 100,77 1.254.313 96,61 2.549.095 98,68
Sumber: Profil Kesehatan Kab/Kota

