Page 209 - Profil Kesehatan 2015
P. 209
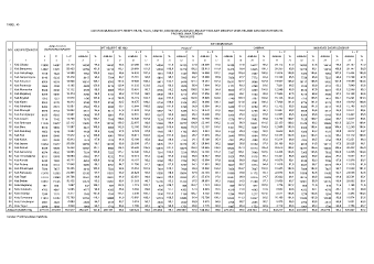
TABEL 43
CAKUPAN IMUNISASI DPT-HB/DPT-HB-Hib, POLIO, CAMPAK, DAN IMUNISASI DASAR LENGKAP PADA BAYI MENURUT JENIS KELAMIN DAN KABUPATEN/KOTA
PROVINSI JAWA TENGAH
TAHUN 2015
BAYI DIIMUNISASI
JUMLAH BAYI
NO KABUPATEN/KOTA (SURVIVING INFANT) DPT-HB3/DPT-HB-Hib3 POLIO 4 a CAMPAK IMUNISASI DASAR LENGKAP
L P L + P L P L + P L P L + P L P L + P
L P L+P JUMLAH % JUMLAH % JUMLAH % JUMLAH % JUMLAH % JUMLAH % JUMLAH % JUMLAH % JUMLAH % JUMLAH % JUMLAH % JUMLAH %
1 2 3 4 5 6 7 8 9 10 11 12 13 14 15 16 17 18 19 20 21 22 23 24 25 26 27 28 29
1 Kab.Cilacap 15060 14682 29.742 14830 98,5 14436 98,3 29.266 98,4 14604 97,0 14235 97,0 28.839 97,0 14700 97,6 14412 98,2 29.112 97,9 14693 97,6 14414 98,2 29.107 97,9
2 Kab.Banyumas 14502 13921 28.423 14759 101,8 14210 102,1 28.969 101,9 14584 100,6 14229 102,2 28.813 101,4 14420 99,4 13935 100,1 28.355 99,8 14229 98,1 13918 100,0 28.147 99,0
3 Kab.Purbalingga 7158 7422 14.580 7552 105,5 7381 99,4 14.933 102,4 7551 105,5 7347 99,0 14.898 102,2 7547 105,4 7467 100,6 15.014 103,0 7470 104,4 7984 107,6 15.454 106,0
4 Kab.Banjarnegara 8146 8333 16.479 8017 98,4 7764 93,2 15.781 95,8 8001 98,2 7805 93,7 15.806 95,9 7958 97,7 7772 93,3 15.730 95,5 7738 95,0 7522 90,3 15.260 92,6
5 Kab.Kebumen 9556 9333 18.889 10331 108,1 9555 102,4 19.886 105,3 9911 103,7 9440 101,1 19.351 102,4 10241 107,2 9596 102,8 19.837 105,0 10117 105,9 9482 101,6 19.599 103,8
6 Kab.Purworejo 4669 4496 9.165 5920 126,8 5412 120,4 11.332 123,6 4124 88,3 3840 85,4 7.964 86,9 4171 89,3 3760 83,6 7.931 86,5 4108 88,0 3741 83,2 7.849 85,6
7 Kab.Wonosobo 6826 6306 13.132 6726 98,5 6365 100,9 13.091 99,7 6705 98,2 6343 100,6 13.048 99,4 6639 97,3 6309 100,0 12.948 98,6 6618 97,0 6291 99,8 12.909 98,3
8 Kab.Magelang 9286 9088 18.374 8990 96,8 8743 96,2 17.733 96,5 8946 96,3 8710 95,8 17.656 96,1 9203 99,1 8703 95,8 17.906 97,5 9278 99,9 8830 97,2 18.108 98,6
9 Kab.Boyolali 7352 7227 14.579 7706 104,8 7413 102,6 15.119 103,7 7690 104,6 7409 102,5 15.099 103,6 7749 105,4 7387 102,2 15.136 103,8 7753 105,5 7451 103,1 15.204 104,3
10 Kab.Klaten 8665 8178 16.843 8740 100,9 8135 99,5 16.875 100,2 8734 100,8 8134 99,5 16.868 100,1 8807 101,6 8201 100,3 17.008 101,0 8776 101,3 8173 99,9 16.949 100,6
11 Kab.Sukoharjo 6364 6523 12.887 6584 103,5 6400 98,1 12.984 100,8 6466 101,6 6198 95,0 12.664 98,3 6449 101,3 6283 96,3 12.732 98,8 6446 101,3 6317 96,8 12.763 99,0
12 Kab.Wonogiri 5878 6154 12.032 5611 95,5 5411 87,9 11.022 91,6 5592 95,1 5386 87,5 10.978 91,2 5551 94,4 5296 86,1 10.847 90,2 5559 94,6 5312 86,3 10.871 90,4
13 Kab.Karanganyar 6635 6362 12.997 6420 96,8 6081 95,6 12.501 96,2 6367 96,0 6063 95,3 12.430 95,6 6360 95,9 6225 97,8 12.585 96,8 6304 95,0 6143 96,6 12.447 95,8
14 Kab.Sragen 7114 7142 14.256 7378 103,7 7168 100,4 14.546 102,0 7228 101,6 7040 98,6 14.268 100,1 7278 102,3 7002 98,0 14.280 100,2 7126 100,2 6906 96,7 14.032 98,4
15 Kab.Grobogan 11435 10677 22.112 11365 99,4 10732 100,5 22.097 99,9 11369 99,4 10777 100,9 22.146 100,2 11314 98,9 10841 101,5 22.155 100,2 11345 99,2 10866 101,8 22.211 100,4
16 Kab.Blora 5818 5689 11.507 6331 108,8 5855 102,9 12.186 105,9 6307 108,4 5850 102,8 12.157 105,6 6121 105,2 5967 104,9 12.088 105,0 6308 108,4 5938 104,4 12.246 106,4
17 Kab.Rembang 4652 4340 8.992 4493 96,6 4230 97,5 8.723 97,0 4469 96,1 4192 96,6 8.661 96,3 4439 95,4 4190 96,5 8.629 96,0 4388 94,3 4124 95,0 8.512 94,7
18 Kab.Pati 9086 8886 17.972 9710 106,9 8901 100,2 18.611 103,6 9254 101,8 8595 96,7 17.849 99,3 9540 105,0 8904 100,2 18.444 102,6 9387 103,3 8732 98,3 18.119 100,8
19 Kab.Kudus 7601 8242 15.843 7374 97,0 7812 94,8 15.186 95,9 7354 96,8 7755 94,1 15.109 95,4 7321 96,3 7893 95,8 15.214 96,0 7335 96,5 7916 96,0 15.251 96,3
20 Kab.Jepara 10464 10372 20.836 10055 96,1 10245 98,8 20.300 97,4 9876 94,4 10170 98,1 20.046 96,2 10007 95,6 10153 97,9 20.160 96,8 9915 94,8 10111 97,5 20.026 96,1
21 Kab.Demak 9839 9609 19.448 10592 107,7 9996 104,0 20.588 105,9 10620 107,9 10026 104,3 20.646 106,2 10554 107,3 10124 105,4 20.678 106,3 10377 105,5 10045 104,5 20.422 105,0
22 Kab.Semarang 6974 6832 13.806 7324 105,0 7222 105,7 14.546 105,4 7316 104,9 7216 105,6 14.532 105,3 7397 106,1 7069 103,5 14.466 104,8 7365 105,6 7033 102,9 14.398 104,3
23 Kab.Temanggung 5511 5383 10.894 5383 97,7 5232 97,2 10.615 97,4 5348 97,0 5199 96,6 10.547 96,8 5323 96,6 5118 95,1 10.441 95,8 4863 88,2 4694 87,2 9.557 87,7
24 Kab.Kendal 8240 7982 16.222 8293 100,6 7814 97,9 16.107 99,3 8182 99,3 7702 96,5 15.884 97,9 8228 99,9 7848 98,3 16.076 99,1 8180 99,3 7746 97,0 15.926 98,2
25 Kab.Batang 6728 6118 12.846 5995 89,1 5791 94,7 11.786 91,7 5904 87,8 5757 94,1 11.661 90,8 6037 89,7 5773 94,4 11.810 91,9 6037 89,7 5773 94,4 11.810 91,9
26 Kab.Pekalongan 7598 7657 15.255 8019 105,5 7533 98,4 15.552 101,9 7984 105,1 7608 99,4 15.592 102,2 7958 104,7 7697 100,5 15.655 102,6 7886 103,8 7637 99,7 15.523 101,8
27 Kab.Pemalang 12476 12393 24.869 12192 97,7 11631 93,9 23.823 95,8 11305 90,6 10844 87,5 22.149 89,1 11698 93,8 11172 90,1 22.870 92,0 11550 92,6 11485 92,7 23.035 92,6
28 Kab.Tegal 13718 13068 26.786 13547 98,8 12407 94,9 25.954 96,9 13547 98,8 12432 95,1 25.979 97,0 13447 98,0 12375 94,7 25.822 96,4 13275 96,8 12289 94,0 25.564 95,4
29 Kab.Brebes 16887 15545 32.432 16072 95,2 15291 98,4 31.363 96,7 15739 93,2 15162 97,5 30.901 95,3 15950 94,5 15100 97,1 31.050 95,7 14867 88,0 14135 90,9 29.002 89,4
30 Kota Magelang 792 865 1.657 832 105,1 887 102,5 1.719 103,7 837 105,7 906 104,7 1.743 105,2 849 107,2 927 107,2 1.776 107,2 566 71,5 619 71,6 1.185 71,5
31 Kota Surakarta 4703 4962 9.665 4277 90,9 4385 88,4 8.662 89,6 4286 91,1 4363 87,9 8.649 89,5 4319 91,8 4363 87,9 8.682 89,8 4333 92,1 4370 88,1 8.703 90,0
32 Kota Salatiga 1246 1131 2.377 1343 107,8 1193 105,5 2.536 106,7 1336 107,2 1196 105,7 2.532 106,5 1294 103,9 1217 107,6 2.511 105,6 1279 102,6 1204 106,5 2.483 104,5
33 Kota Semarang 11616 14153 25.769 12794 110,1 13008 91,9 25.802 100,1 12718 109,5 13080 92,4 25.798 100,1 12933 111,3 13247 93,6 26.180 101,6 11844 102,0 12030 85,0 23.874 92,6
34 Kota Pekalongan 2981 3022 6.003 2809 94,2 2815 93,2 5.624 93,7 2836 95,1 2839 93,9 5.675 94,5 2705 90,7 2665 88,2 5.370 89,5 2790 93,6 2811 93,0 5.601 93,3
35 Kota Tegal 2040 1808 3.848 1963 96,2 1743 96,4 3.706 96,3 1974 96,8 1751 96,8 3.725 96,8 1967 96,4 1752 96,9 3.719 96,6 1964 96,3 1736 96,0 3.700 96,2
JUMLAH (KAB/KOTA) 277.616 273.901 551.517 280.327 101,0 269.197 98,3 549.524 99,6 275.064 99,1 265.599 97,0 540.663 98,0 276.474 99,6 266.743 97,4 543.217 98,5 272.069 98,0 263.778 96,3 535.847 97,2
Sumber: Profil Kesehatan Kab/Kota

