Page 228 - Profil Kesehatan Jawa tengah 2022
P. 228
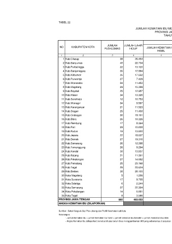
TABEL 22
JUMLAH KEMATIAN IBU MENURUT KABUPATEN/KOTA
PROVINSI JAWA TENGAH
TAHUN 2022
KEMATIAN IBU
JUMLAH JUMLAH LAHIR
NO KABUPATEN/KOTA JUMLAH KEMATIAN IBU JUMLAH KEMATIAN IBU JUMLAH KEMATIAN IBU
PUSKESMAS HIDUP JUMLAH KEMATIAN IBU
HAMIL BERSALIN NIFAS
1 2 3 4 5 9 13 17
1 Kab.Cilacap 38 26.454 6 2 6 14
2 Kab.Banyumas 40 22.734 4 3 17 24
3 Kab.Purbalingga 22 13.120 2 3 8 13
4 Kab.Banjarnegara 35 12.994 6 5 6 17
5 Kab.Kebumen 35 17.552 7 1 21 29
6 Kab.Purworejo 27 7.429 1 0 5 6
7 Kab.Wonosobo 24 11.453 3 1 10 14
8 Kab.Magelang 29 15.399 3 2 10 15
9 Kab.Boyolali 25 12.957 5 2 13 20
10 Kab.Klaten 34 13.326 2 1 8 11
11 Kab.Sukoharjo 12 10.753 4 1 7 12
12 Kab.Wonogiri 34 9.567 4 1 10 15
13 Kab.Karanganyar 21 11.523 2 0 4 6
14 Kab.Sragen 25 11.450 3 0 11 14
15 Kab.Grobogan 30 19.161 3 0 20 23
16 Kab.Blora 26 10.326 6 1 3 10
17 Kab.Rembang 17 8.364 0 0 6 6
18 Kab.Pati 29 15.808 2 3 8 13
19 Kab.Kudus 19 13.600 1 4 7 12
20 Kab.Jepara 22 18.637 2 0 11 13
21 Kab.Demak 27 19.316 2 3 8 13
22 Kab.Semarang 26 12.398 1 5 11 17
23 Kab.Temanggung 26 9.294 2 1 4 7
24 Kab.Kendal 30 13.837 6 6 7 19
25 Kab.Batang 21 11.361 6 2 4 12
26 Kab.Pekalongan 27 14.652 6 5 10 21
27 Kab.Pemalang 25 23.168 2 1 8 11
28 Kab.Tegal 29 23.624 4 3 8 15
29 Kab.Brebes 38 28.100 15 5 30 50
30 Kota Magelang 5 1.206 0 0 1 1
31 Kota Surakarta 17 9.705 1 0 2 3
32 Kota Salatiga 6 2.244 1 0 2 3
33 Kota Semarang 37 22.304 5 0 10 15
34 Kota Pekalongan 14 5.651 2 2 3 7
35 Kota Tegal 8 3.566 1 0 3 4
PROVINSI JAWA TENGAH 880 483.033 120 63 302 485
ANGKA KEMATIAN IBU (DILAPORKAN) 100,41
Sumber : Seksi Kesga & Gizi Prov Jateng dan Profil Kesehatan kab/kota
Keterangan:
- Jumlah kematian ibu = jumlah kematian ibu hamil + jumlah kematian ibu bersalin + jumlah kematian ibu nifas
- Angka Kematian Ibu (dilaporkan) tersebut di atas belum bisa menggambarkan AKI yang sebenarnya di populasi

