Page 193 - Profil Kesehatan Jawa tengah 2022
P. 193
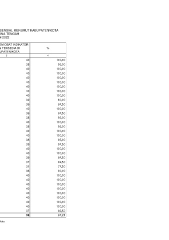
TABEL 10
PERSENTASE KETERSEDIAAN OBAT ESENSIAL MENURUT KABUPATEN/KOTA
PROVINSI JAWA TENGAH
TAHUN 2022
JUMLAH ITEM OBAT INDIKATOR
NO KABUPATEN/KOTA YANG TERSEDIA DI %
KABUPATEN/KOTA
1 2 3 4
1 Kab.Cilacap 40 100,00
2 Kab.Banyumas 38 95,00
3 Kab.Purbalingga 40 100,00
4 Kab.Banjarnegara 40 100,00
5 Kab.Kebumen 40 100,00
6 Kab.Purworejo 40 100,00
7 Kab.Wonosobo 40 100,00
8 Kab.Magelang 40 100,00
9 Kab.Boyolali 40 100,00
10 Kab.Klaten 32 80,00
11 Kab.Sukoharjo 39 97,50
12 Kab.Wonogiri 40 100,00
13 Kab.Karanganyar 39 97,50
14 Kab.Sragen 38 95,00
15 Kab.Grobogan 40 100,00
16 Kab.Blora 38 95,00
17 Kab.Rembang 40 100,00
18 Kab.Pati 40 100,00
19 Kab.Kudus 38 95,00
20 Kab.Jepara 39 97,50
21 Kab.Demak 40 100,00
22 Kab.Semarang 40 100,00
23 Kab.Temanggung 39 97,50
24 Kab.Kendal 37 92,50
25 Kab.Batang 31 77,50
26 Kab.Pekalongan 36 90,00
27 Kab.Pemalang 40 100,00
28 Kab.Tegal 40 100,00
29 Kab.Brebes 40 100,00
30 Kota Magelang 40 100,00
31 Kota Surakarta 40 100,00
32 Kota Salatiga 40 100,00
33 Kota Semarang 40 100,00
34 Kota Pekalongan 40 100,00
35 Kota Tegal 37 92,50
PROVINSI JAWA TENGAH 39 97,21
Sumber: Seksi Farmamin_Perbekkes & Profil Kesehatan Kab/Kota
Keterangan : Jumlah item obat esensial 40 item

