Page 263 - 1Profil Kesehatan Jawa Tengah 2023
P. 263
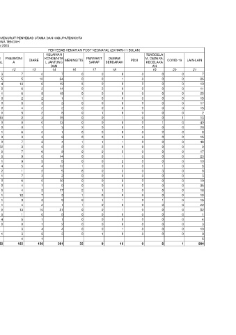
TABEL 35
JUMLAH KEMATIAN NEONATAL DAN POST NEONATAL MENURUT PENYEBAB UTAMA DAN KABUPATEN/KOTA
PROVINSI JAWA TENGAH
TAHUN 2023
PENYEBAB KEMATIAN NEONATAL (0-28 HARI) PENYEBAB KEMATIAN POST NEONATAL (29 HARI-11 BULAN)
KELAINAN TENGGELA
NO KABUPATEN/KOTA BBLR DAN TETANUS KELAINAN KONDISI PNEUMONI KONGENITA PENYAKIT DEMAM M, CEDERA,
PREMATURI ASFIKSIA NEONATOR INFEKSI KONGENITA COVID-19 LAIN-LAIN PERINATAL A DIARE L JANTUNG MENINGITIS SARAF BERDARAH PD3I KECELAKA COVID-19 LAIN-LAIN
TAS UM L
DAN AN
1 2 3 4 5 6 7 8 10 11 12 13 14 16 17 18 19 20 21
1 Kab.Cilacap 42 27 0 19 14 0 23 3 7 0 7 0 0 0 0 0 0 7
2 Kab.Banyumas 94 35 0 2 35 1 18 5 5 10 24 0 0 1 0 0 0 26
3 Kab.Purbalingga 46 19 0 1 35 0 11 4 13 6 19 5 0 0 0 0 0 19
4 Kab.Banjarnegara 49 26 0 7 32 0 8 0 6 2 14 0 2 0 0 0 0 11
5 Kab.Kebumen 56 34 0 8 34 0 13 1 6 8 18 0 0 0 0 0 0 25
6 Kab.Purworejo 29 10 0 7 4 0 13 0 2 2 1 1 0 0 0 0 0 15
7 Kab.Wonosobo 38 27 0 8 8 0 18 0 8 3 3 0 0 0 0 0 0 17
8 Kab.Magelang 37 23 0 0 12 0 36 0 4 2 2 0 0 0 0 0 0 15
9 Kab.Boyolali 60 18 0 14 26 0 3 0 5 2 8 0 1 0 0 0 0 2
10 Kab.Klaten 54 21 0 6 20 0 7 10 2 3 15 0 0 1 0 0 1 13
11 Kab.Sukoharjo 28 12 0 0 14 0 8 0 0 0 13 0 0 0 0 1 0 40
12 Kab.Wonogiri 17 15 0 3 15 0 58 0 0 1 3 2 0 0 0 0 0 26
13 Kab.Karanganyar 28 11 0 7 3 0 10 1 6 0 1 0 0 0 0 2 0 8
14 Kab.Sragen 30 17 0 6 22 0 17 0 3 3 9 0 0 0 0 0 0 15
15 Kab.Grobogan 75 43 0 4 27 0 50 0 7 3 4 1 1 1 0 0 0 48
16 Kab.Blora 40 21 8 1 10 0 23 22 3 0 2 0 2 0 0 0 0 0
17 Kab.Rembang 26 38 0 2 8 0 9 0 7 6 9 0 0 2 0 0 0 17
18 Kab.Pati 50 40 0 5 22 0 26 0 9 0 14 0 0 1 0 0 0 23
19 Kab.Kudus 14 27 0 7 13 0 11 1 9 5 5 0 0 2 0 0 0 10
20 Kab.Jepara 28 22 0 1 9 0 1 4 5 4 12 1 0 0 0 1 0 8
21 Kab.Demak 15 14 0 8 10 0 14 2 1 2 5 8 0 2 0 3 0 8
22 Kab.Semarang 33 30 0 10 13 0 20 1 7 3 2 0 0 0 0 0 0 3
23 Kab.Temanggung 31 24 0 1 17 0 9 0 5 0 10 0 0 0 0 0 0 19
24 Kab.Kendal 36 24 0 3 8 1 19 0 4 1 0 0 0 0 0 0 0 35
25 Kab.Batang 14 17 0 2 19 0 10 0 4 3 17 2 1 3 0 0 0 16
26 Kab.Pekalongan 32 23 0 6 12 0 14 1 12 7 3 1 0 0 0 0 0 18
27 Kab.Pemalang 40 24 0 3 21 0 9 1 9 3 9 0 1 1 0 1 0 15
28 Kab.Tegal 63 29 0 13 10 0 15 1 4 2 1 1 0 0 0 0 0 20
29 Kab.Brebes 100 80 0 5 32 0 19 0 13 10 21 0 0 1 0 0 0 52
30 Kota Magelang 2 1 0 0 2 0 0 0 1 0 0 0 0 0 0 0 0 1
31 Kota Surakarta 15 9 0 9 6 0 9 4 5 1 1 0 0 0 0 0 0 4
32 Kota Salatiga 8 4 0 0 6 0 4 0 0 1 2 0 0 0 0 0 0 3
33 Kota Semarang 48 28 0 4 30 0 10 3 4 4 0 0 1 0 0 0 10
34 Kota Pekalongan 19 16 0 6 2 0 5 1 3 2 3 0 1 0 0 0 0 9
35 Kota Tegal 5 8 1 1 7 4 1 6
PROVINSI JAWA TENGAH 1.302 817 8 179 552 2 527 62 182 100 261 22 9 16 0 8 1 564
Sumber : Seksi Kesga & Gizi Prov Jateng

