Page 167 - Profil Kesehatan 2015
P. 167
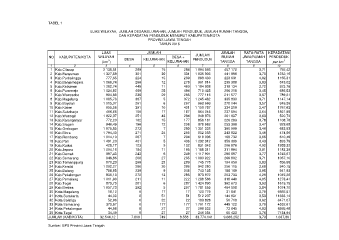
TABEL 1
LUAS WILAYAH, JUMLAH DESA/KELURAHAN, JUMLAH PENDUDUK, JUMLAH RUMAH TANGGA,
DAN KEPADATAN PENDUDUK MENURUT KABUPATEN/KOTA
PROVINSI JAWA TENGAH
TAHUN 2015
LUAS JUMLAH JUMLAH RATA-RATA KEPADATAN
JUMLAH
NO KABUPATEN/KOTA WILAYAH DESA KELURAHAN DESA + PENDUDUK RUMAH JIWA/RUMAH PENDUDUK
2
(km ) KELURAHAN TANGGA TANGGA per km 2
1 2 3 4 5 6 7 8 9 10
1 Kab.Cilacap 2 138,51 269 15 284 1 694 593 457 172 3,71 792,42
2 Kab.Banyumas 1 327,59 301 30 331 1 635 803 441 896 3,70 1232,16
3 Kab.Purbalingga 777,65 224 15 239 898 430 223 631 4,02 1155,31
4 Kab.Banjarnegara 1 069,74 266 12 278 901 814 235 388 3,83 843,02
5 Kab.Kebumen 1 282,74 449 11 460 1 184 938 318 134 3,72 923,76
6 Kab.Purworejo 1 034,82 469 25 494 710 435 206 218 3,45 686,53
7 Kab.Wonosobo 984,68 236 29 265 777 116 211 577 3,67 789,21
8 Kab.Magelang 1 085,73 367 5 372 1 245 482 335 833 3,71 1147,14
9 Kab.Boyolali 1 015,07 261 6 267 963 669 270 044 3,57 949,36
10 Kab.Klaten 655,56 391 10 401 1 158 787 334 216 3,47 1767,63
11 Kab.Sukoharjo 466,66 150 17 167 864 245 237 594 3,64 1851,98
12 Kab.Wonogiri 1 822,37 251 43 294 948 976 261 637 3,63 520,74
13 Kab.Karanganyar 772,20 162 15 177 856 181 226 283 3,78 1108,76
14 Kab.Sragen 946,49 196 12 208 878 983 253 368 3,47 928,68
15 Kab.Grobogan 1 975,85 273 7 280 1 351 338 390 969 3,46 683,93
16 Kab.Blora 1 794,40 271 24 295 852 088 243 822 3,49 474,86
17 Kab.Rembang 1 014,10 287 7 294 619 095 169 732 3,65 610,49
18 Kab.Pati 1 491,20 401 5 406 1 232 912 359 399 3,43 826,79
19 Kab.Kudus 425,17 123 9 132 831 343 206 978 4,02 1955,32
20 Kab.Jepara 1 004,16 184 11 195 1 188 311 311 894 3,81 1183,39
21 Kab.Demak 897,43 243 6 249 1 117 901 296 697 3,77 1245,67
22 Kab.Semarang 946,86 208 27 235 1 000 922 269 802 3,71 1057,10
23 Kab.Temanggung 870,23 266 23 289 745 778 194 650 3,83 856,99
24 Kab.Kendal 1 002,27 266 20 286 942 280 256 115 3,68 940,15
25 Kab.Batang 788,95 239 9 248 743 135 188 169 3,95 941,93
26 Kab.Pekalongan 836,13 272 13 285 873 972 203 733 4,29 1045,26
27 Kab.Pemalang 1 011,90 211 11 222 1 288 566 318 440 4,05 1273,41
28 Kab.Tegal 879,70 281 6 287 1 424 890 362 673 3,93 1619,75
29 Kab.Brebes 1 657,73 292 5 297 1 781 555 464 508 3,84 1074,70
30 Kota Magelang 18,12 0 17 17 120 779 31 841 3,79 6665,51
31 Kota Surakarta 44,03 0 51 51 512 207 144 931 3,53 11633,14
32 Kota Salatiga 52,96 0 22 22 183 828 50 718 3,62 3471,07
33 Kota Semarang 373,67 0 177 177 1 701 172 449 122 3,79 4552,61
34 Kota Pekalongan 44,96 0 27 27 296 533 73 645 4,03 6595,48
35 Kota Tegal 34,49 0 27 27 246 084 65 423 3,76 7134,94
JUMLAH (KAB/KOTA) 32.544,12 7.809 749 8.558 33.774.141 9.066.252 3,73 1.037,80
Sumber: BPS Provinsi Jawa Tengah

